20考研数学必背公式大全(概率论与数学统计)
2019/8/7 15:12:26
来源: 网络
考研数学中,尤其高等数学具有高等的抽象性、系统性等特点,高数有四多:定义多、定理多、公式多、题多。公式是考研数学中必不可少的。所以,牢记一些公式对考研数学做题不可或缺。海天考研网给大家总结了考研必背的公式,记得收藏!
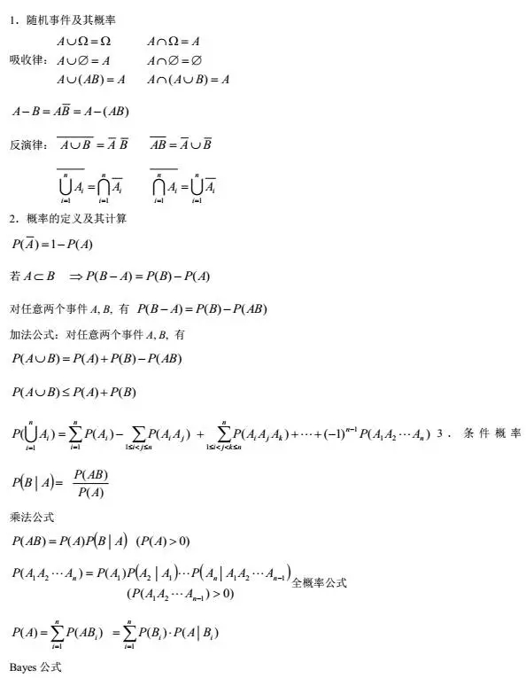
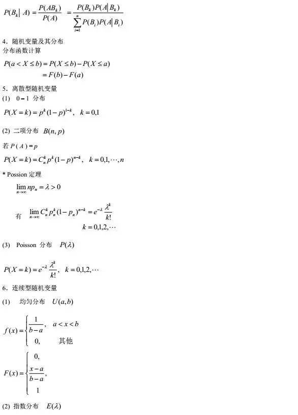
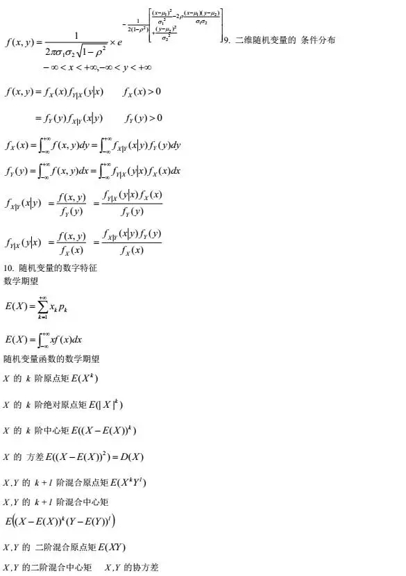
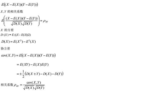
概率论与数学统计





2025考研人数达388w,考研热度依旧火热!如何备战2026考研?哪个考研专业适合自己?在职考生如何备考?考研知识点繁多,择校困难大,和海天考研咨询老师聊一聊。网课面授多项选,专业辅导1对1,全年集训随时学!

热门推荐



