最后一个月,考研数学高效提分技巧!
还有二十天就要踏上考研初试的战场了,考生们是不是感觉压力越来越大了?海天考研提醒大家,不要害怕即将到来的考试,要抓紧时间把知识点记牢掌握才是关键,海天考研网为大家分享考研数学冲刺的高效提分技巧,一起来看看吧。
1、重视错题本
重点选取之前做过的但做错的题目去看。
选择题钻研到每一个选项,弄懂每一个选项为什么对,为什么不对;
大题明确每一个步骤,原理是什么,原理的条件和结论是什么,题中哪一句话或者哪一个已知条件在提示用这个方法来解题,每一步做法的依据是什么。
只有做到了这些,我们在应对考场上才能得心应手。
2、利用押题卷查缺补漏
历年真题大部分的题目都是常规知识点,小部分是一些不太常考的知识点。
对于这些细小的知识点,小伙伴们在复习的时候可能会忽略,或者因为做题少而遗忘。
所以利用押题卷来查漏补缺是一种不错的选择。
但同时也要记得,我们考研侧重的常规计算,而对偏难怪是不侧重的,如果押题卷有特别难的题目,建议同学们放弃。
3、对各种题型做归纳总结
相信做过历年真题的小伙伴们都发现,年份相近的真题,他的出题类型,出题思路,所考知识点,解题思路比较相近,并且之前考过的真题,很有可能变个数字,或者稍稍转化下形式,还会拿出来重新考察。
所以在最后的时间,大家要对各类题型答题思路进行归纳总结,把握住每一种题型特点。
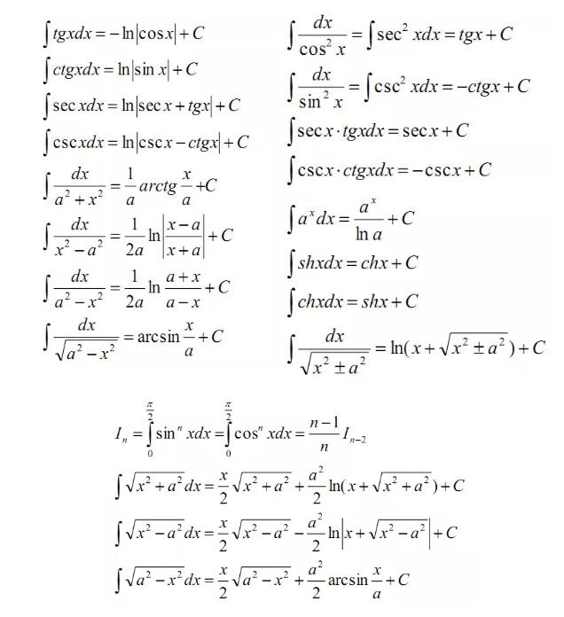
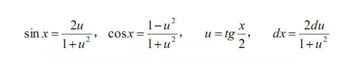
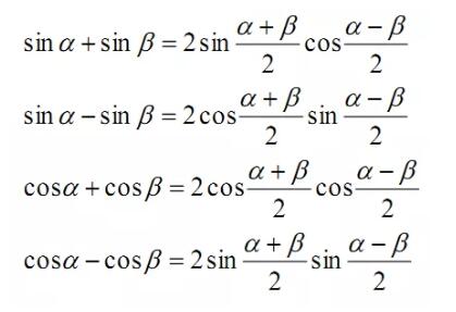
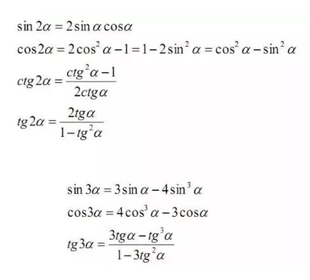
4、牢记数学公式
很多时候数学题就是套公式,所以大家对常考的数学公式一定要牢牢的记在心里。
今天海天考研网给大家整理了常考的数学公式,大家在考前可以多拿出来看。
导数公式

基本积分表公式

三角函数的有理式积分公式

初等函数公式

极限公式

三角函数公式

三角函数诱导公式

常用三角函数公式

和差化积公式

和差角公式

反三角函数公式

倍角公式

半角公式

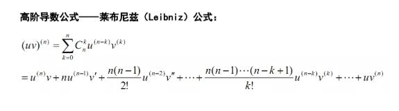
布莱尼兹公式

正余弦定理公式

2025考研人数达388w,考研热度依旧火热!如何备战2026考研?哪个考研专业适合自己?在职考生如何备考?考研知识点繁多,择校困难大,和海天考研咨询老师聊一聊。网课面授多项选,专业辅导1对1,全年集训随时学!

下一篇:21考研:数学入门级干货分享



