考研倒计时,重难点数学公式汇总!
2020/12/11 11:31:06
来源: 网络
考研就剩下最后半个月时间了,常用的数学公式记住了吗?海天考研小编整理了一些重难点的数学公式,一起来看看吧。
1、常用等价无穷小

2、两个重要极限

3、极限存在的判别方法

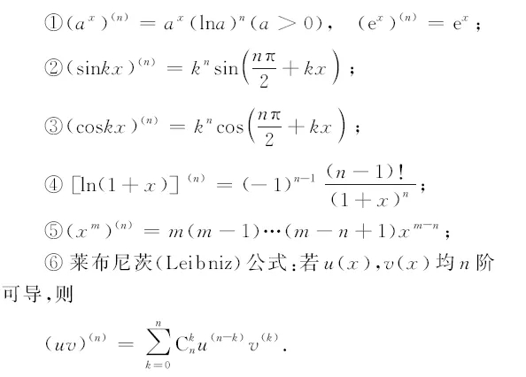
4、高阶导数公式

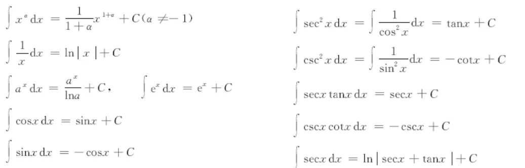
5、基本积分公式

6、函数

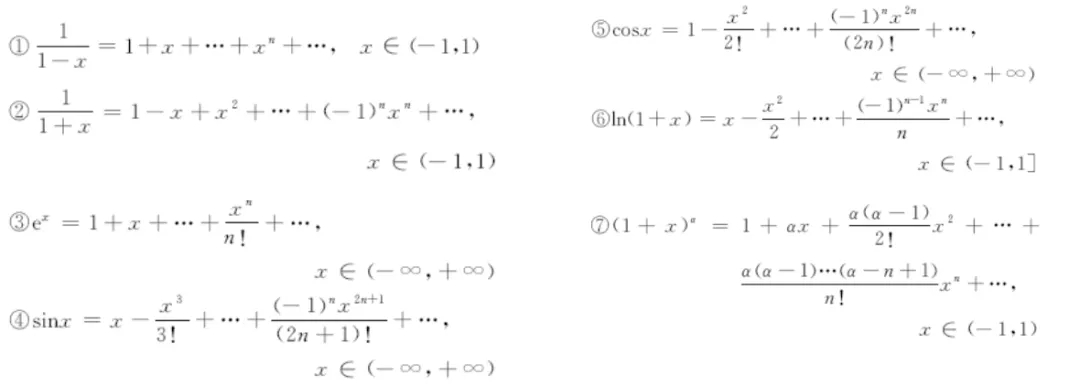
7、常用麦克劳林展开式

8、矩阵转置的性质

9、逆矩阵的性质

10、伴随矩阵的性质

11、矩阵的秩

12、常见的数学期望与方差

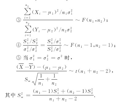
13、常用统计量



2025考研人数达388w,考研热度依旧火热!如何备战2026考研?哪个考研专业适合自己?在职考生如何备考?考研知识点繁多,择校困难大,和海天考研咨询老师聊一聊。网课面授多项选,专业辅导1对1,全年集训随时学!

下一篇:21考研英语作文的评分细则!
热门推荐



